近日,星空网页版登录入口前沿交叉研究院教师团队在区域高分辨率智能天气预报大模型研究方面取得重要进展。研究团队基于新型深度学习网络架构,在美国HRRR数据集上开展实验,系统探索了区域天气预报中边界条件的处理机制,并显著提升了近地面气象变量的预报准确性。该研究为首个真正意义上聚焦人工智能区域天气预报模型的工作。相关成果以“An artificial intelligence-based limited area model for forecasting of surface meteorological variables”为题,发表在Nature旗下的Communications Earth & Environment期刊上(2025, vol. 6, 372)。
准确的天气预报在现代社会的多个领域中发挥着至关重要的作用。目前,天气预报主要依赖于数值天气预报模式,该类模型通常结构复杂、计算速度较慢。近年来,基于数据驱动的深度学习模型显著提升了预报效率。然而,现有研究多集中于低分辨率的全球天气预报,对于高分辨率的区域天气预报关注较少。与全球预报相比,区域预报更侧重于更高的空间分辨率,并且区域边界信息在其中起着更加关键的作用。
本研究围绕高分辨率区域天气预报的大模型展开探讨,将预报的空间分辨率提升至3km × 3km。模型采用AFNO与Swin Transformer并行融合的新型网络架构,并引入边界平滑策略以有效整合区域边界信息。此外,通过耦合全球预报与区域预报的方法,显著提升了区域预报的准确性。在48小时预报任务中,该模型的预测效果与HRRR数值预报模式相当,且在10米风速等近地面变量以及低空变量的预报精度上优于传统数值模式。

图 1 模型架构图

图 2 预报算法流程图

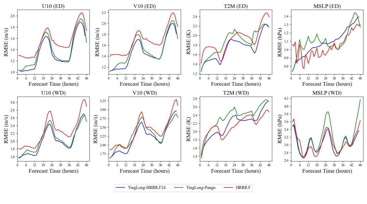
图 3 预报结果

图 4 预报结果可视化
该成果由星空网页版登录入口前沿交叉研究院联合华东师范大学、上海张江数学研究院等高校和科研机构共同完成。星空网页版登录入口前沿交叉研究院院长担任通讯作者,前沿交叉研究院与数学与统计学院联合培养的博士生高天焱为主要技术骨干,为论文第三作者。该研究得到了国家自然科学基金重大项目的支持。
文章链接:https://doi.org/10.1038/s43247-025-02347-5
初审:徐平峰
复审:解悦
终审:郑伟